Qualité de service mobile : le réseau de Free Réunion, faut-il voir le verre à moitié vide ou à moitié plein ?
L’Arcep publie les résultats de sa campagne 2021 de mesure de la qualité de service mobile en Outre-mer.
Voilà de quoi permettre aux consommateurs ultramarins de comparer les performances des opérateurs, et aux décideurs de poser un diagnostic sur l’état de la connectivité mobile de leur territoire. Cette nouvelle campagne annuelle de l’Arcep représente plus de 400 000 mesures, sur les territoires de la Guadeloupe, la Guyane, la Martinique, Mayotte, La Réunion, Saint-Barthélemy et Saint-Martin, pour une dizaine d’opérateurs différents au total. L’enquête a porté sur les services mobiles les plus utilisés : navigation web, lecture de vidéo, transfert de données, SMS et appels vocaux. Les tests réalisés visent à évaluer la performance des réseaux des opérateurs, de manière strictement comparable, et dans des conditions d’usage diversifiées.
À La Réunion, malgré un taux de succès en baisse pour la voix et les SMS (en particulier pour SFR et Free Réunion (Telco Oi)), les résultats se maintiennent à un niveau élevé (en moyenne, 93% des appels sont passés sans perturbations audibles en lieux de vie). La qualité de service de Zeop qui bénéficie d’un contrat d’itinérance 2G/3G/4G sur le réseau Orange Réunion, s’améliore nettement sur les usages web et streaming pour atteindre des performances comparables à celles d’Orange et SFR sur la plupart des indicateurs. Telco OI, soit Free Mobile reste en retrait sur la data. Gros bémol, les débits descendants à la Réunion et à Mayotte n’ont pas pu être mesurés, du fait de problèmes liés aux serveurs de test.

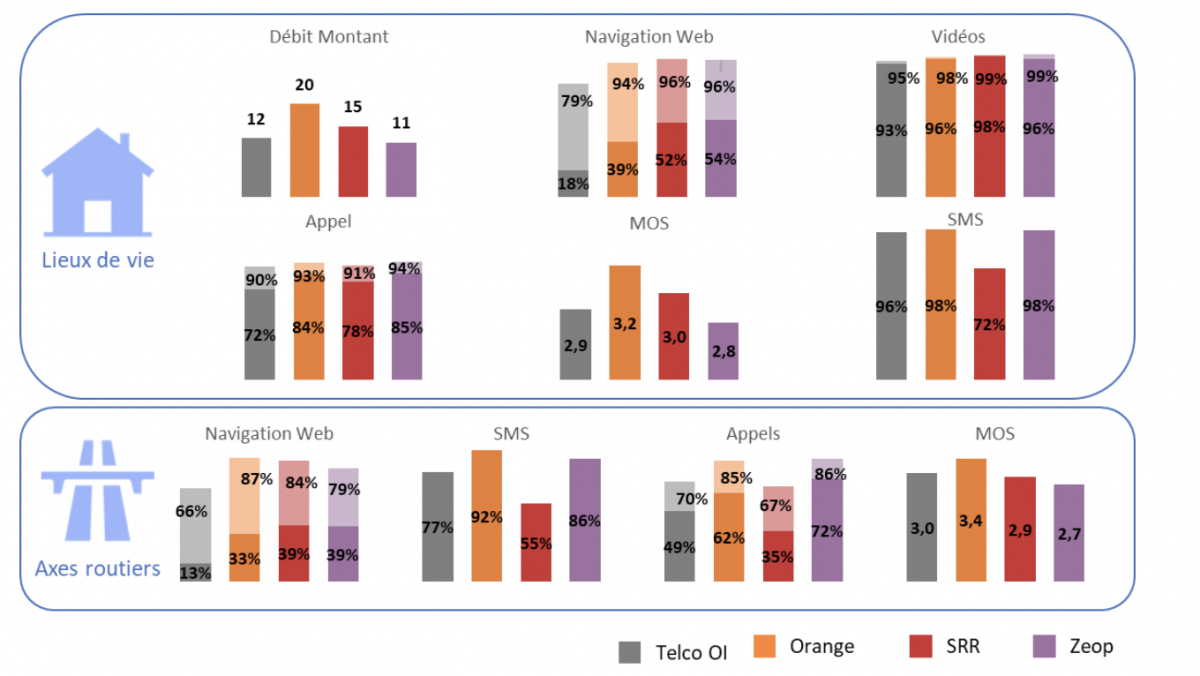
Focus sur les lieux de vies
Sur les lieux de vie, Free Mobile se place 3e sur le débit montant, avec 12Mb/s contre 20Mb/s pour Orange qui se distingue de l’ensemble des opérateurs de l’île (15Mb/s pour SFR, et 11Mb/s pour Zeop qui lui bénéficie pourtant d’un accès 4G+ en itinérance au réseau mobile d’Orange).
Concernant la navigation web, Zeop, le trublion des télécom de l’île, propose la meilleure performance dans cette catégorie, avec 96% des pages chargées en moins de 10sec (dont 54% en moins de 5 secondes). SFR lui emboîte le pas avec 96% (dont 52% en moins de 5sec), suivi de près par Orange avec 94% (donc 39% en moins de 5sec). Free clôture cette fois-ci avec 79% (dont 18% en moins de 5sec, un score nettement inférieur aux autres opérateurs).
Pour ce qui concerne le streaming vidéo, SFR, se place cette fois-ci à la première position, avec 99% des vidéos visionnées sans problème pendant 2 minutes en 360p et 98% en 720p. Zeop lui emboîte le pas avec un pourcentage identique concernant la qualité en 360p et 96% en 720p. Une nouvelle fois, Orange se positionne en troisième position avec 98% des vidéos visionnées en 360p et 96% en 720p. L’opérateur d’Iliad se positionne encore pour sa part en dernière position mais cette fois-ci avec un écart moindre. Effectivement l’opérateur propose 95% des vidéos en 360p et 93% en 720p.
Au sujet de la catégorie des appels, l’écart entre les opérateurs est moins important. Zeop est en première position, avec 94% des appels maintenus pendant 2min, dont 85% dans une qualité parfaite mais avec un score MOS (un moyen qui mesure la différence entre l’appel en cours et un échantillon de référence) ) de 2,8 qui le place dernier dans cette mesure.
Suit Orange avec 93% dont 84% dans une qualité parfait avec un score MOS de 3,2 qui le place premier dans cette catégorie. SFR lui propose 91% dont 78% dans une qualité parfait avec un score MOS de 3,0 qui le place 2e dans cette mesure. À nouveau, Telco OI se positionne en dernière position avec 90% des appels maintenus pendant deux minutes donc 72 % dans une qualité parfaite mais cette-ci avec un score de 2,8 en terme de MOS qui le positionne en 3e position devant Zeop.
L’étude sur les lieux de vie se termine par les SMS. L’opérateur de Xavier Niel, ne s’en sort pas très mal avec 96% des SMS reçus en moins de 10sec le positionnement en troisième position. Orange et Zeop se positionne ex-aequo en première position avec 98% et SFR ferme la marche avec 72%
En résumé, les résultats de Free Réunion (Telco Oi) sur les lieux de vie restent globalement bons sauf sur la navigation web, où l’opérateur se laisse distancé par les autres opérateurs.
Les axes routiers, peut faire mieux
Concernant les mesures de la navigation Web sur les axes routiers, Free (Telco Oi) ne s’en sort pas mieux. L’étude de l’Arcep, indique seulement 66% des pages chargées en moins de 10sec et 13% en moins de 5sec, ce qui place l’opérateur une nouvelle fois en dernière position. Orange quant a lui se positionne en première position, avec 87% (dont 33 % en moins de 5sec). Suivi de SFR avec 84% (dont 39% en moins de 5sec). Puis de Zeop, avec 79% (dont 39% de pages chargées en moins de 5sec).
L’étude sur les SMS indique qu’Orange est leader avec 92% des SMS reçus en moins de 10sec contre 86% pour Zeop, suivi de Free avec 77 %. SFR ferme une nouvelle fois la marche sur ce service avec seulement 55% des SMS reçus en moins de 10sec.
Au sujet des appels, l’écart entre les opérateurs sur les axes routiers sont plus fluctuant. Zeop est premier, avec 94% des appels maintenus pendant 2min, dont 72% dans une qualité parfait mais avec un score MOS (Mean opinion score (une moyen qui mesure la différence entre l’appel en cours et un échantion de référence) ) de 2,7 qui le place dernier dans cette mesure au même titre que les lieux de vie. Suivi de près par Orange avec 85% dont 62% dans une qualité parfait avec un score MOS de 3,4 qui le place une nouvelle fois, en première position dans cette catégorie. Free Réunion, quant à lui, se positionne cette fois-ci en 3e position avec 70% des appels maintenus pendant deux minutes, donc 49% dans une qualité parfaite. Et cette-fois ci avec un score de 3,0 en terme de MOS qui le positionne en 2e position devant SFR et Zeop. SFR lui propose 67% dont 35% dans une qualité parfait avec un score MOS de 2,9 qui le place 3e dans cette mesure.
Pour résumer, l’opérateur du groupe Iliad/Axian , reste une nouvelle fois en retrait sur quasiment l’ensemble des mesures. Néanmoins, il est le seul à être (encore) en 2CA. Lui restent encore quelques cartouches en réserve tels que les 15 Mhz sur la fréquence 4G 2600 Mhz, ce qui pourrait lui permettre de faire de la 4G++ 3CA et d’améliorer les débits. L’année 2022 risque d’être un tournant pour Free grâce à ses fréquences en stock ainsi qu’à ses lots de fréquences obtenus en 5G récemment.
De plus, si l’on compare les résultats de l’étude de l’Arcep, et de nPerf en terme de streaming vidéo, de navigation web, et de débit montant. On peut constater, que Free s’en sort un peu mieux et que les écarts sont moins importants avec les outils de mesure de l’Arcep. Néanmoins, le classement ne diffère pas, sauf sur le débit montant. Effectivement dans cette catégorie Free se place 3e du coté Arcep devant Zeop. Alors que chez nPerf se dernier se place en 3e position devant Free.