Découvrez qui de Free, Orange, SFR ou Bouygues Télécom offre la meilleur qualité de service sur l’ADSL et la fibre
L’ARCEP vient de publier les indicateurs de qualité de service fixe pour le 2ème semestre 2017. Cette étude mesure les délais de raccordement, le taux de panne et le temps moyen pour rétablir les services fixes, ce qui permet d’établir qui de Free, Orange, SFR ou Bouygues offre la meilleure qualité de service.
Délais de mise en service
En termes de délai de raccordement sans intervention de technicien, Free annonce 50% des raccordements en 6 jours, 95% en 17 jours. L’opérateur historique, Orange, affiche le même nombre de jours pour 50% des raccordement, mais met 2 jours de moins à raccorder 95% de ses lignes. Free est, en revanche, moins long que Bouygues Télécom, avec des délais de 8 jours pour 50% des raccordements.

En cas d’intervention d’un technicien pour raccorder la ligne, Free fait moins bien, avec un délai de 20 jours pour raccorder un abonné ADSL et un peu plus de 20 jours pour un abonné FTTH.

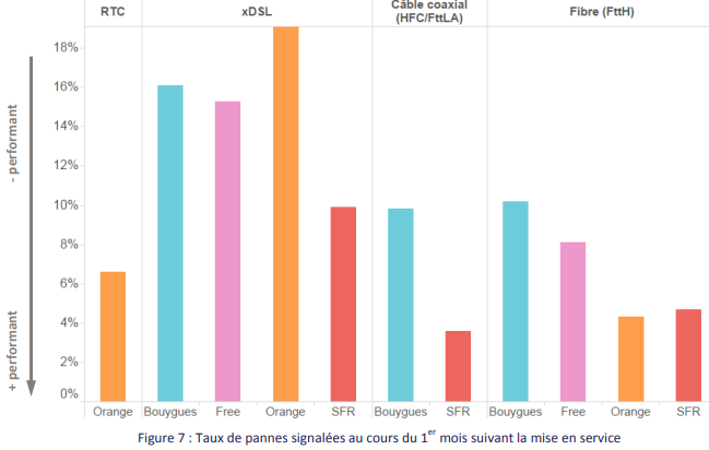
Taux de pannes
L’ARCEP a également relevé le taux de pannes au cours du 1er mois suivant la mise en service. A ce jeu là, Free affiche un taux de 15% d’incidents pour l’ADSL. Ce résultat est meilleur qu’Orange (19%) et Bouygues Télécom (16%), mais c’est SFR qui arrive en tête avec 10%.

Au delà des 30 premiers jours, le taux de pannes mensuel diminue fortement pour tous les opérateurs
Quel opérateur répare les pannes le plus rapidement ?
Lorsqu’une panne survient, SFR est très nettement le plus mauvais élève avec plus de 10 jours pour résoudre 50% des problèmes, en ADSL, et jusqu’à plus de 40 jours pour résoudre 95% des problèmes. SFR affiche des résultats encore plus médiocres sur la fibre et le câble. Cela explique pourquoi il y a tant d’insatisfaction chez les clients SFR, comme l’ont montré les différentes études à ce sujet, comme celles de l’UFC Que Choisir ou 60 millions de consommateurs. Orange affiche à l’inverse les meilleurs chiffres, avec un délai de 2 jours pour réparer une panne, que ce soit en ADSL ou fibre. Sur cette technologie Free se retrouve à égalité, avec également 2 jours, un chiffre qui monte à 3 jours pour l’ADSL.

