26/03
Qualité de la téléphonie chez les FAI : découvrez les résultats de Free et des autres opérateurs
En plus des mesures de la qualité de l’accès aux services fixes, que nous vous avons rapporté mercredi, l’ARCEP publie les résultats des mesures de la qualité du service de téléphonie fixe pour les différents FAI français.
Taux de réussite des appels
Cet indicateur traduit la probabilité pour un appelant de voir son appel aboutir, et donc de ne pas avoir d’appel défaillant.
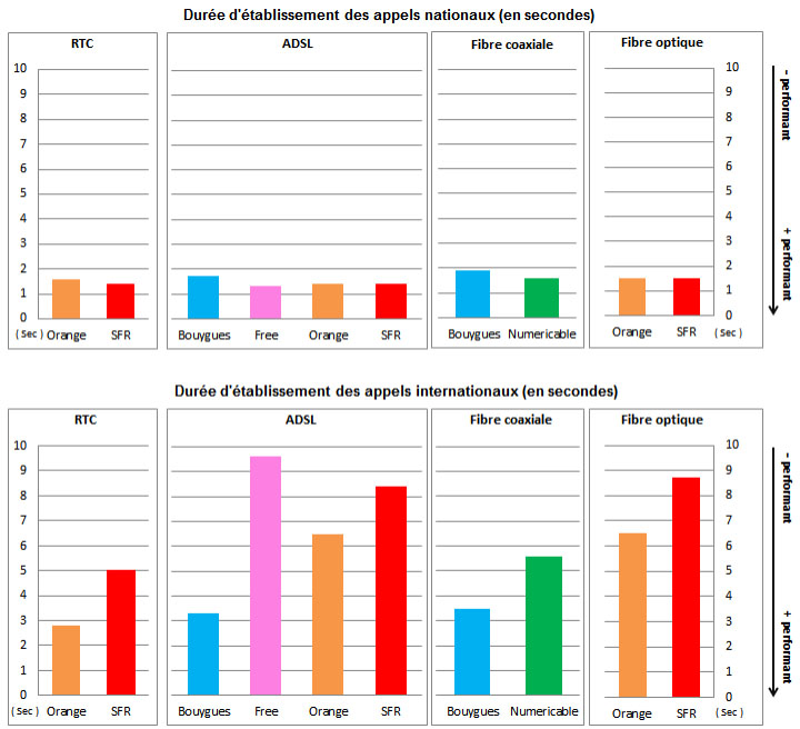
Durée d’établissement de la communication
La durée d’établissement de la communication correspond au délai mesuré entre la fin de la numérotation et le décroché. La durée d’établissement de la communication est distinguée en fonction de la destination des appels (nationaux ou internationaux).
L’indicateur publié est une moyenne calculée sur des appels tests émis au cours de la période de mesure. Les appels défaillants sont exclus du calcul de cette moyenne.

Qualité de la parole d’une communication nationale
La qualité de la connexion vocale est mesurée selon le modèle PESQ (Perceptual Evaluation of Speech Quality) qui permet l’évaluation de la qualité vocale de bout en bout, des codecs vocaux et des réseaux téléphoniques à bande étroite. Ce procédé qui consiste à attribuer une note de 1 (très mauvais) à 5 (excellent, comparable à la version d’origine) pour caractériser la qualité de la restitution. Cette note est obtenue en comparant le signal initial envoyé avec le signal dégradé reçu.
L’indicateur publié est une moyenne calculée sur des appels tests émis au cours de la période de mesure.

On constate que les résultats chez Free sont très aléatoires. Il affiche par exemple la meilleure performance en ce qui concerne la « Durée d’établissement des appels nationaux » et la plus mauvaise pour les appels Internationaux. Sur la qualité vocale de la communication, là aussi, Free se place en dernière position.
Vous pouvez retrouver l’intégralité de résultats de Free sur cette page
Cet article a été repris sur le site Univers FreeBox
Accéder aux commentaires